NORTEK HK1 Series 230V Electric Heater Kits

Introduction
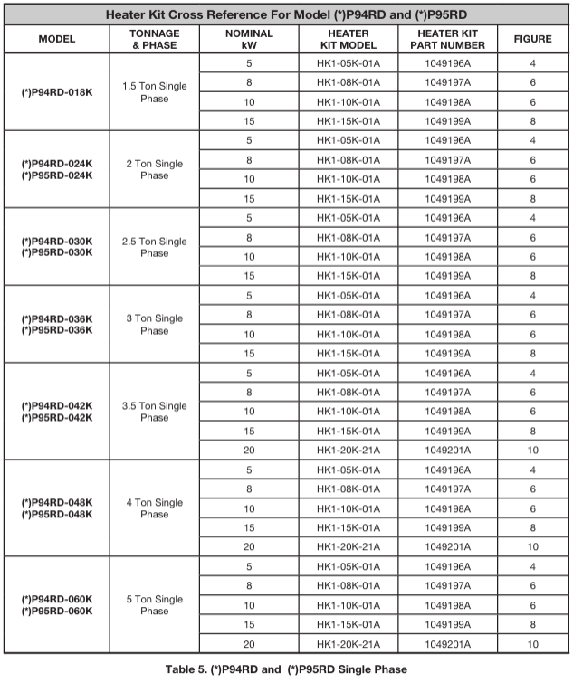
HK1 heater kits are approved for use in packaged air conditioners and packaged heat pumps when applied and installed according to these instructions. See Table 5 (page 8), Table 6 (page 9), and Table 7 (page 10) for approved HK1 air conditioner and heat pump applications. Refer to the National Electric Code (ANSI/ NFPA 70) or, in Canada, the Canadian Electric Code Part 1 (CSA C.22.1) and applicable local codes for overcurrent protection and disconnect requirements.
A2L Compliance
The HK1 heater kits have A2L-approved components and can be used in units with R454B and R410A refrigerant. The H3HK heater kits do not have A2L-approved components and cannot be used in units with R454B refrigerant.
Safety Instructions
INSTALLER: Please read all instructions before servicing this equipment. Pay attention to all safety warnings and any other special NOTES highlighted in the manual. Safety markings are used frequently throughout this manual to designate a degree or level of seriousness and should not be ignored.
- This appliance is not intended for use by persons (including children) with reduced physical, sensory, or mental capabilities, or a lack of experience and knowledge, unless they have been given supervision or instruction concerning use of the appliance by a person responsible for their safety.
- Children should be supervised to ensure that they do not play with the appliance.
- Failure to follow safety warnings exactly could result in serious injury, death, or property damage.
- Improper servicing could result in dangerous operation, serious injury, death, or property damage.
- Before servicing, disconnect all electrical power to the unit.
- When servicing controls, label all wires before disconnecting. Reconnect wires correctly.
- Verify proper operation after servicing.
- Use caution when removing components or handling this product.
- Personal injury can occur from sharp metal edges present in all sheet metal-constructed equipment.
Electrical Cord
- If the unit was previously installed without electric heat, the existing supply wiring may not be sufficient to handle the increased load. For minimum circuit ampacities and maximum overcurrent protection ratings.
- Units with installed electric heat may be supplied by a single circuit or by multiple circuits.
- Additional accessory kits may be required if single circuit installation and/or circuit breakers are desired.
Circuit Options
The units with electric heat may be wired for single or multiple circuits and may have circuit breakers or terminal blocks.
- Overcurrent protection must be provided at the branch circuit distribution panel even if circuit breakers are not used in the units.
- It must be sized as shown in Table 8 (page 11), Table 9 (page 12), and Table 10 (page 13) or on the unit rating label and according to the National Electric Code, Canadian Electrical Code, and applicable local codes.
- When circuit breakers are used, they must be used on all circuits. Refer to Table 5 (page 8), Table 6 (page 9), and Table 7 (page 10) for the correct circuit breaker for the application.

- If circuit breakers are not being used, proceed to the Terminal Blocks section.
Circuit Breakers
If circuit breakers are used for any circuit, they must be used for all circuits. Use one breaker for each circuit.
Breaker Attachment
Install the circuit breaker mounting rail to the control panel with the 4 blunt tip screws provided.
Attaching to Bracket
Attach the circuit breakers in the unit by hooking the bottom in the base of the circuit breaker onto the left rail of the bracket and rotating to the right. The circuit breaker should snap into place. Install the breakers so that the ON position is to the right. See Figure 2 (page 7) for component location.
Breaker Removal
Insert a screwdriver into the hole in the release tab and pull out while rotating the breaker out and to the left. The white release tab is located at the base of the breaker under the line side (right) terminals.
Single Circuit: it
Kit Refer to the instructions included with the single circuit adapter kit for details on how to configure the adapter. Install the adapter as shown in the instructions on the line side (right) of the breakers. Proceed to the Element Installation section.
Installation
The heater will not function properly if the elements are installed incorrectly.
Pre-Installation
Remove the control box access panel. Locate the heater plug assembly (9-pin for single-phase kits) and remove the jumper cap. Discard the jumper cap; it will not be used after installing the heater kits. Remove the heater close-off plate(s) in the electric heat panel. When installing single banks of heaters, position them closest to the blower. See Figure 2 (page 7).
Power Wiring
- Route the main power leads (heavy black & red wires) 9-pinhe 9-pin heat plug through the access hole at the top of the control panel to the circuit breaker or terminal block.
- Connect the th9-pinin heat kit plug to the heat accessory plug located in the control box.
- For connections, refer to the detailed wiring diagrams: Make sure all connections are secure.
- Select large package units have additional terminal blocks installed.
- 6-inch6 inch leads are provided with the heater kit to connect the circuit breaker(s) to the compressor contactor.

Horizontal Supply & Return
Install the heater kit with the limit control towards the top of the unit when using side supply and return duct openings.
Vertical Supply & Return
Vertical Installation of 8 & 10 kW Heater Kits: Install the heater kit with the limit towards the bottom of the unit. When installing single bank(s) of heater(s), position them closest to the blower. Rooftop applications with vertical ducts must have an elbow installed in the supply duct so that the elements are not directly over a supply grille.
- Remove the two screws on the heater kit unit holding both heating element plates together if modifying the location of the element to be closer to the blower.
- Tilt the heating element plate forward to create clearance for the contactor wires. Move it to the other side of the heating element bank and then back down, aligning the edge holes of the heating element plates.
- Using the two screws removed in step 1, fasten the element close-off plates together. Installation of 15 & 20 kW Heater Kits.
- Loosen the screw toward the middle of the transition panel enough so that the open slot on the bracket will slide into this screw. See Figure 2 (page 7).
- If installing in a large package unit, the mounting screw for the front of this bracket will be on the top side of the blower transition panel closest to the supply duct opening.
- If installing in a small package unit, the mounting screw will be on the side of the blower transition.
- Remove this screw to NORTEK HK1 Series 230V Electric Heater Kits allow the contactor bracket to slide into the back screw. Reinstall the front screw and tighten the back screw firmly.

Airflow
Use the following steps to determine the heat rise for your particular heater kit.
- Determine your airflow in CFM or cubic meters per hour. Find this data by locating your blower tap settings in the data supplied with the installation instructions.
- Locate your heater kits’ kW value and Btu/h in Table 2.
- Input the values into the following equation:
Setting for Airflow
Review the installation instructions and blower curves to find a tap setting to satisfy the minimum airflow requirements that is the same or lower than the total external static pressure. Adjust the blower motor tap setting according to the instructions in the unit installation instructions.
- Heater Kit = 10Kw
- Min Airflow =700 cfm(1189 cubic m3/hr)
- Total external static(measured) = .5 in w.c.( 1.24 kpa)



Components
Heater Kit Tables


Electrical Data





Wiring Diagrams








Customer Service
- Ph: +47 6717 4500
- Website https://support.nortekgroup.com/
FAQs
Q: Can I install the HK1 Series heater kit myself?
No, a certified electrician or HVAC specialist must carry out the installation. To guarantee proper operation and adherence to regional electrical codes, the kit’s high-voltage wiring and safety interlocks call for specialised knowledge.
Q: What voltage and power requirements does the HK1 Series operate on?
This variant runs on single-phase AC electricity at 230 volts. The heater capacity (kW rating) determines the precise current draw (amperage) and circuit breaker size. For precise specifications, consult the installation manual or the nameplate on your item.
Q: How do I know which heater kit size is compatible with my air handler?
The product documentation for each NORTEK air handler includes a list of suitable heater kits. Inappropriate airflow, circuit overloads, or decreased performance can arise from using the incorrect size. Prior to installation, always confirm compatibility with the model number of your air handler.
Q: Does the HK1 Series include a built-in circuit breaker or fuse?
For additional security, many HK1 models have fuse blocks or internal circuit breakers. However, in accordance with local laws and the electrical rating of the heater, you still need to add external overcurrent protection (circuit breakers or fuses).
Q: Is additional wiring required during installation?
Indeed. Field wiring includes power leads, control wiring, and grounding. Every connection needs to adhere to the manual’s wiring schematic.
Q: Can I operate the electric heater without the air handler blower running?
No. There must always be enough airflow for the heater to function. This may result in element overheating, activate the thermal limit switch, or cause irreversible damage to the heater assembly. Before turning on the unit, make sure the blower is operating.




Heater Kit Tables